Volume 16, Issue 4 (Jul-Aug 2022)                   mljgoums 2022, 16(4): 47-53 | Back to browse issues page


XML Print


Download citation:
BibTeX | RIS | EndNote | Medlars | ProCite | Reference Manager | RefWorks
Send citation to:

Ogliari K S, Immig M L, Halon M L, Loth F, Boni L, Grudzinski P, et al . Development of a Validation Protocol for Laboratory Personnel Training in Sperm Analysis and Cryopreservation(brief report). mljgoums 2022; 16 (4) :47-53
URL: http://mlj.goums.ac.ir/article-1-1464-en.html
1- Hemocord Biotechnology, São Leopoldo, Brazil , karolyn@hemocord.com.br
2- Hemocord Biotechnology, São Leopoldo, Brazil
3- University of Vale do Rio dos Sinos, São Leopoldo, Brazil
Full-Text [PDF 803 kb]   (1295 Downloads)     |   Abstract (HTML)  (6081 Views)
Full-Text:   (1479 Views)
INTRODUCTION
Sperm cryopreservation is the best method to stabilize and preserve cell viability and functionality for future use in assisted reproductive technology. A reliable pre- and post-cryopreservation semen analysis by the sperm bank is imperative to help clinicians define which assisted reproductive procedure is possible, and also to serve as quality control of the freezing and thawing procedures (1). However, despite adherence of most laboratories to the World Health Organization (WHO) recommendations for semen analysis, there is still high variability in the interpretation of several semen parameters because of the subjectivity factor, training, experience, and individual technical skill (2-4). 
Quality assurance of an andrology laboratory includes several criteria that together ensure that the best practices are fulfilled. Education, specimen reception and handling, reagent quality, instrument checks, reporting and results verification, and especially inter-and intra-operator comparison efficiency, are key in the quality control process (5). Here, we describe a method of validating semen analysis prior to cryopreservation, comparing each operator’s results with an expert, and also analyzing inter-operator variability. As a second endpoint, we compare this method by analyzing semen parameters before and after cryopreservation.
MATERIALS AND METHODS
The study was performed in a laboratory setting at the Hemocord Biotechnology, a cell and tissue processing center for human cellular therapies in Brazil. Semen samples were obtained from healthy men. The samples were negative for infectious diseases. Written informed consent was also taken from the participants.
Four professional trainees studied and practiced semen analysis according to the WHO guidelines for one month, under supervision of an expert in the field. To validate the microscopic sperm parameters by our laboratory personnel, we assessed the results in two phases. The first phase consisted of comparing the analysis performed by each team member against an expert's interpretation for different samples. The second phase comprised an inter-operator comparison between the four members' microscopic results for five different semen samples analyzed in triplicates. As a second endpoint, we analyzed the differences in the results of fresh versus post-thaw semen samples.
Semen was collected by masturbation in a sterile 80 ml cup after three days of abstinence. Analyzes were performed within two hours of collection and according to the WHO guidelines (2010). Only microscopic parameters such as sperm concentration, motility, vitality, and morphology were taken into consideration for the validation of protocol proficiency. Sperm motility results were categorized into progressive, non-progressive, and non-motile (2). A light optic microscope (Nikon E200, Nikon Instruments, NY, USA) equipped with 10x, 40x, and 100x objectives was used to perform the analyzes. Sperm concentration and motility were assessed using a Neubauer chamber. The vitality test was performed using eosin-nigrosin staining (VitalScreenTM, FertiPro, Beernem, Belgium), and panoptic staining was performed for morphology analysis (Instant prov, Newprov, Parana, Brazil). Morphology was interpreted according to the Kruger's strict criteria (2). All team members analyzed the same parameters in each sample after thawing.
Cryopreservation of semen samples was performed using Test-yolk buffer freezing medium (ref 90128 - FujiFilm Irvine Scientific, CA, USA) diluted 1:1 with the semen sample. The samples were submitted to an automated stepwise reducing temperature protocol using a controlled-rate freezer, according to the manufacturer's instructions (Thermo Scientific™ CryoMed™7401, ThermoFischer Scientific, Waltham, MA, USA) in seven steps for two hours, until the samples reached temperature of -120 °C. Then, the samples were transferred to a high-efficiency vapor phase nitrogen tank (CryoPlus 3, N/S 502732-627, Thermo Scientific, Waltham, MA, USA). Quick-thaw was performed at 37 ºC using a water bath.
Statistical analysis of data was performed with GraphPad Prism (version 9). Multiple paired t-tests with SIdák-Bonerroni post-test were used to compare the data between the expert and operators, and between fresh and frozen samples. To compare the inter-operator variability, one-way ANOVA with Tukey’s post-test was used. The coefficient of variation (CV), mean, and 25th and 75th percentiles were also calculated. All results were presented as mean ± standard error of the mean (SEM).
RESULTS
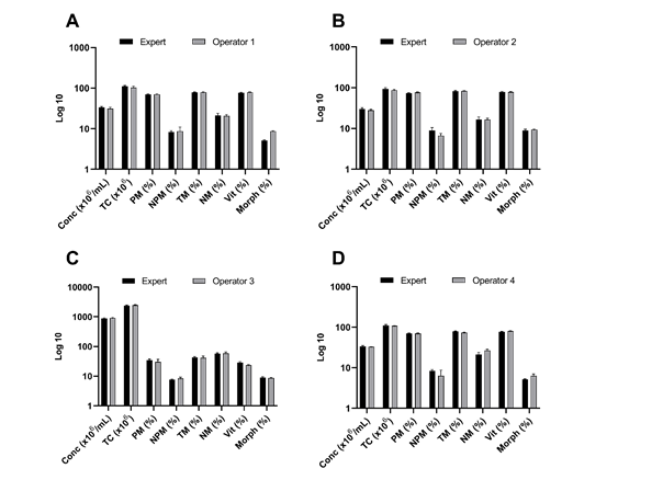
There was no notable difference between the results of analysis obtained by the operators and that obtained by the expert (Figure 1).


Figure 1. Comparison of results between the expert and operators in microscopic parameters analysis.  Each operator analyzed a semen sample regarding the different parameters indicated by the WHO (2010) and had their results compared with the analysis of an expert. (A) Expert x Operator 1, (B) Expert x Operator 2, (C) Expert x Operator 3, and (D) Expert x Operator 4. Conc: concentration; TC: total count; PM: progressive motility; NPM: non-progressive motility; TM: total motility; NM: non-motile; Morph: morphology.
Supplementary Table 1 describes the mean, SEM, and adjusted p-values from the three readings of each sample of the operator and expert, which are in accordance with the acceptable differences between percentages by the WHO guidelines (2). These results show that the training carried out by the expert before validation was effective. Next, in order to analyze the consistency among our technicians’ results, an inter-operator comparison was performed with five different samples in two different time points, with fresh samples and after thawing the same samples. Among the parameters evaluated, we observed a significant statistical difference only for the morphology reading in the fresh samples, which was not found in the post-thawed semen analysis (Figure 2).


Figure 2. Inter-operator variability analysis of fresh and post-thawed semen samples. After training with an andrology expert, all laboratory members evaluated five fresh semen samples and post-thawed to microscopic parameters. Each operator performed three counts of each sample, and the average of their counts was compared among all. (A) Inter-operator variability in fresh samples. (B) Inter-operator variability in post-thawed samples.
We also evaluated the mean coefficient of variation for the parameters most susceptible to variability in concentration (13.9%), progressive motility (21.8%), and morphology (28.5%) (Table 1). Interestingly, we observed a wide range of variation in the analysis of the fresh and thawed sample 2, which exhibited characteristics of oligozoospermia, a condition characterized by the reduction of spermatozoa that can make the analysis of the sample more challenging for the operators in training.
Table 1. Inter-operator coefficient of variation for analysis of concentration, progressive motility, and morphology in fresh semen samples
Sample Concentration (x106/ml) CV (%) Progressive motility (%) CV (%) Morphology (%) CV (%)
1 58.13 (56.25 - 59.63) 3.24 61.23 (59.19 - 63.32) 3.48 6.75 (5.25 - 8) 22.22
2 34.83 (20.48 - 48.7) 45.47 2.66 (0.67 - 4.21) 71.80 1.5 (0.25 - 2.75) 86.07
3 134.6 (127 - 142.4) 5.98 59.38 (49.33 - 69.26) 18.33 9 (8.25 - 9.75) 9.07
4 111.9 (104.6 - 121.0) 8.08 46.91 (42.61 - 53.53) 13.37 7.25 (7 – 7.75) 6.89
5 149.3 (140.1 - 158.6) 6.59 77.08 (75.82 - 78.61) 1.97 12 (9.75 - 13.75) 18.00
Mean 13.87 21.79 28.45
Data are presented as the mean (25th and 75th percentiles), coefficient of variation, and mean of coefficient of variation. CV: coefficient of variation.
Supplementary Table 2. Comparison of fresh and post-thawed semen samples

 
Fresh
Mean ± SEM
Post-thawed
Mean ± SEM
Adjusted p-value
Concentration (x106/mL) 97.7 ± 22.0 77.6 ± 15.4 0.495
Total Count (x106) 271.3 ± 99.4 208.3 ± 66.1 0.727
Progressive Motility (%) 49.4 ± 12.6 21.6 ± 7.7 0.264
Non-Progressive Motility (%) 3.9 ± 0.5 9.7 ± 2.3 0.49
Total Motility (%) 53.5 ± 12.6 31.3 ± 9.2 0.284
Non-Mobile (%) 45.8 ± 12.8 68.7 ± 9.2 0.229
Vitality (%) 53.1 ± 12.0 34.9 ± 3.0 0.375
Morphology (%) 7.3 ± 1.7 5.3 ± 1.2 0.331
DISCUSSION 
The validation protocol described here was designed to evaluate the efficiency of training of our laboratory personnel in order to produce assertive and consistent results for semen analysis before cryopreservation. Implementations based solely on the WHO recommendations can be considered a challenge since the technique has a significant level of subjectivity (6). Therefore, it is essential to have efficient hands-on training to maintain an andrology laboratory with qualified technicians.
In our validation, analysis of each operator did not differ with the analysis of the expert, indicating that the training carried out before validation was effective. On the other hand, the inter-operator comparison exhibited a difference only for the morphology reading. Indeed, sperm motility and morphology interpretations are highly susceptible to variation among operators (5). Morphology analyzes may have limitations, such as different seeding and staining techniques, which might increase the chance of variability (7). In order to reduce variation during analysis, many automated techniques have been developed, in which there would be no need for seeding and staining (8,9). However, Engel and collaborators suggest that manual assessment by a welltrained technician is more accurate than automated assessment because it allows more detailed mapping of defects. Furthermore, automated methods demand more equipment and analysis costs (8). Despite this result, the CV of the samples evaluated in inter-operator’s analyzes is comparable to other studies. For instance, in an internal quality control study, Daoud and colleagues showed that the mean CV between operators were 12.3%, 6.9%, and 42.7% for concentration, motility, and morphology, respectively. These averages were slightly higher when comparing parameters between laboratories (10). Lam et al. also reported a similar CV value between operators in a study between 11 laboratories (25.85% for concentration, 19.78% for progressive motility, and 56.07% for morphology) (4). Although we observed a significant difference in the morphology validation, it is noteworthy that our CV for this parameter was considerably lower compared with the mentioned studies.
Similar to morphology, we also observed a greater variability in the motility parameter. Although all samples were analyzed within the time established by the WHO guidelines, the difference in time of analysis of the same sample for each operator may have influenced the result. Indeed, the main reasons for observed differences in motility by other researchers are the subjectivity of the technician, time for analysis, and the lack of standards (11).
Although semen analysis before and after cryopreservation was not the main objective of this study, we compared the results as a secondary endpoint of this research, to assess the impact of cryopreservation on the sample. We observed a reduction in sperm concentration, motility, morphology, and vitality as well as an increase in non-progressive motility when comparing fresh and cryopreserved samples. However, these results were not statistically significant between the fresh and post-thaw groups (Supplementary Table 2).
Cryopreservation of semen is an effective technique to preserve male fertility and its subsequent use in assisted reproduction technology (12,13). Nonetheless, it must be performed with appropriate cryopreservatives and techniques in order to avoid post-thaw damages, such as formation of ice crystals (14). Even with the use of a semen-specific cryopreservative medium and automated stepwise temperature reduction protocol, we observed small differences in some parameters after thawing of the sample, indicating that improvements can still be made in the cryopreservation process in order to increase post-thawing sperm recovery. Similarly, other limitation of our study is the small number of samples. Future works from our laboratory aim to compare other cryopreservation protocols and programs to evaluate the best methodology for semen storage at ultra-low temperatures. In addition, we continue to provide training and internal quality control programs so that our results are reproducible and reliable.

CONCLUSION
In conclusion, our laboratory staff training validation protocol for cryopreserved semen analysis was effective. Although many studies share external validations between different laboratories (4,7), few laboratories disclose their internal quality programs. A differential of our study was to bring an expert with years of training to compare with our technicians. This comparison can be important in order to determine if systematic errors are being perpetuated. Indeed, even laboratories that follow the WHO guidelines may have poorly reproducible results and errors that can compromise future clinical decisions if there is no effective training program. The use of standardized protocols and efficient internal and external quality control programs can correct errors and enhance reliability of the results.

ACKNOWLEDGEMENTS
The authors would like to thank Pamela Brambilla Bagatini for her help in the execution of experiments.

Authors' Contribution
MF conducted the laboratory staff training and analysis of fresh semen samples. MLI, MLH, FBL, and LB performed the macroscopic and microscopic analyzes of the fresh and post-thawed semen samples. PBG and LRB contributed to the data analyzes, interpretation of the results, and wrote the paper. KSO provided conception and study design, supervised the experiments, wrote the paper, and performed critical reading. All authors discussed the results and contributed to the writing of the manuscript.
DECLARATIONS
Funding
The authors received no financial support for the research, authorship, and/or publication of this article.
Ethics approvals and consent to participate
Written consent was taken from all subjects prior to participation in the study.
CONFLICT OF INTEREST
The authors declare that there is no conflict of interest regarding publication of this article






 
Research Article: Brief Report | Subject: Laboratory Sciences
Received: 2021/11/23 | Accepted: 2022/02/12 | Published: 2022/07/16 | ePublished: 2022/07/16

References
1. Baskaran S, Finelli R, Agarwal A, Henkel R. Diagnostic value of routine semen analysis in clinical andrology. Andrologia. 2021; 53(2): e13614. [View at Publisher] [DOI:10.1111/and.13614] [PubMed] [Google Scholar]
2. World Health Organization. WHO laboratory manual for the examination and processing of human semen. (World Health Organization, 2010). [View at Publisher]
3. Filimberti E, Degl'Innocenti S, Borsotti M, Quercioli M, Piomboni P, Natali I, et al. High variability in results of semen analysis in andrology laboratories in Tuscany (Italy): the experience of an external quality control (EQC) programme. Andrology. 2013; 1(3): 401-7. [View at Publisher] [DOI:10.1111/j.2047-2927.2012.00042.x] [PubMed] [Google Scholar]
4. Lam, M. T. et al. A prospective study of variations in conventional semen parameters among local andrology laboratories. J. Mens. health 17, 95-100 (2021). [Google Scholar]
5. Sikka, S. C. & Ayaz, A. Standardized Semen Analysis and Quality Control Management for Multicenter Male Reproductive Toxicology Clinical Trials. in Bioenvironmental Issues Affecting Men's Reproductive and Sexual Health 371-386 (Elsevier Inc., 2018). doi:10.1016/B978-0-12-801299-4.00023-2. [DOI:10.1016/B978-0-12-801299-4.00023-2]
6. Franken, D. Semen analysis workshops in India and Africa: the vital role of training and external quality control programmes. https://www.researchgate.net/publication/261773015 (2013).
7. Gatimel, N., Moreau, J., Parinaud, J. & Léandri, R. D. Sperm morphology: assessment, pathophysiology, clinical relevance, and state of the art in 2017. Andrology vol. 5 845-862 (2017). [DOI:10.1111/andr.12389]
8. Engel, K. M., Grunewald, S., Schiller, J. & Paasch, U. Automated semen analysis by SQA Vision ® versus the manual approach-A prospective double-blind study. Andrologia 51, (2019). [DOI:10.1111/and.13149]
9. Agarwal, A., Henkel, R., Huang, C. & Lee, M. Automation of human semen analysis using a novel artificial intelligence optical microscopic technology. Andrologia 51, (2019). [DOI:10.1111/and.13440]
10. Daoud, S., Chakroun-Feki, N., Sellami, A., Ammar-Keskes, L. & Rebai, T. Inter-and intra-operator variability in the analysis of semen parameters: results from a quality control program. Pan Afr. Med. J. 25, 115 (2016). [DOI:10.11604/pamj.2016.25.115.9158]
11. Dai, C. et al. Advances in sperm analysis: techniques, discoveries and applications. Nat. Rev. Urol. (2021) doi:10.1038/s41585-021-00472-2. [DOI:10.1038/s41585-021-00472-2]
12. Gómez-Torres, M. J., Medrano, L., Romero, A., Fernández-Colom, P. J. & Aizpurúa, J. Effectiveness of human spermatozoa biomarkers as indicators of structural damage during cryopreservation. Cryobiology 78, 90-94 (2017). [DOI:10.1016/j.cryobiol.2017.06.008]
13. O'Neill, H. C., Nikoloska, M., Ho, H. T., Doshi, A. & Maalouf, W. Improved cryopreservation of spermatozoa using vitrification: comparison of cryoprotectants and a novel device for long-term storage. J. Assist. Reprod. Genet. 36, 1713-1720 (2019). [DOI:10.1007/s10815-019-01505-x]
14. Hezavehei, M. et al. Sperm cryopreservation: A review on current molecular cryobiology and advanced approaches. Reproductive BioMedicine Online vol. 37 327-339 (2018). [DOI:10.1016/j.rbmo.2018.05.012]

Add your comments about this article : Your username or Email:
CAPTCHA

Send email to the article author


Rights and permissions
Creative Commons License This work is licensed under a Creative Commons Attribution-NonCommercial 4.0 International License.